문제 : boj23827

필요 알고리즘 개념
- 누적 합 (prefix sum)
- 누적 합 개념을 알고 있으면 더 편하게 풀 수 있다.
- 기본적인 수학
- 수식을 편한 방식으로 짤 수 있도록 바꿀 수 있어야 한다.
※ 제 코드에서 왜 main 함수에 로직을 직접 작성하지 않았는지, 왜 Scanner를 쓰지 않고 BufferedReader를 사용했는지 등에 대해서는 '자바로 백준 풀 때의 팁 및 주의점' 글을 참고해주세요. 백준을 자바로 풀어보려고 시작하시는 분이나, 백준에서 자바로 풀 때의 팁을 원하시는 분들도 보시는걸 추천드립니다.
풀이
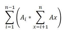
N=4에 대해 A1, A2, A3, A4를 생각해보자. i=1에 대해, A1*A2+A1*A3+A1*A4 = A1(A2+A3+A4) 이다. 마찬가지로 i=2에 대해, A2(A3+A4)이다. 그럼 구하려고 하는 답은 다음과 같이 나타낼 수 있다.

그럼 우측 시그마 부분만 prefix sum으로 계산해둔다면 전체를 O(N)으로 처리할 수 있게 된다. 이 때 prefix sum을 거꾸로 진행하면(prefixSum[n] += prefixSum[n+1]) 위 수식의 우측 시그마를 바로바로 구해줄 수 있다.
MOD값의 경우엔 이하의 두 수식에 의해 매번 나머지를 구해도 결과를 구할 때 문제되는 부분은 없다.


코드 : github
import java.io.BufferedReader;
import java.io.InputStreamReader;
import java.util.StringTokenizer;
public class Main {
private static final long MOD = 1000000007;
private void solution() throws Exception {
BufferedReader br = new BufferedReader(new InputStreamReader(System.in));
int n = Integer.parseInt(br.readLine());
long[] arr = new long[n+1];
StringTokenizer st = new StringTokenizer(br.readLine());
for (int i = 1; i <= n; i++) arr[i] = Long.parseLong(st.nextToken());
long[] prefixSum = new long[n+2];
for (int i = n; i >= 1; i--) {
prefixSum[i] += prefixSum[i+1] + arr[i];
}
long sum = 0l;
for (int i = 1; i <= n; i++) {
sum += arr[i] * prefixSum[i+1];
sum %= MOD;
}
System.out.println(sum);
}
public static void main(String[] args) throws Exception {
new Main().solution();
}
}'PS > BOJ' 카테고리의 다른 글
| [자바] 백준 1715 - 카드 정렬하기 (java) (0) | 2022.08.21 |
|---|---|
| [자바] 백준 14495 - 피보나치 비스무리한 수열 (java) (0) | 2022.08.20 |
| [자바] 백준 2517 - 달리기 (java) (0) | 2022.08.18 |
| [자바] 백준 1038 - 감소하는 수 (java) (0) | 2022.08.18 |
| [자바] 백준 1517 - 버블 소트 (java) (0) | 2022.08.17 |
댓글