문제 : boj9206

필요 알고리즘 개념
- 수학, 미적분학, 수치해석
- 정적분을 통해 풀 수 있는 문제이다. 추가로 적분값의 근사치를 알 수 있는 심프슨 공식 등도 필요하다.
※ 제 코드에서 왜 main 함수에 로직을 직접 작성하지 않았는지, 왜 Scanner를 쓰지 않고 BufferedReader를 사용했는지 등에 대해서는 '자바로 백준 풀 때의 팁 및 주의점' 글을 참고해주세요. 백준을 자바로 풀어보려고 시작하시는 분이나, 백준에서 자바로 풀 때의 팁을 원하시는 분들도 보시는걸 추천드립니다.
풀이
우선 문제부터 이해해보자.
꽃병의 윤곽은 $f(x)=a\bullet e^{-x^2}+b\bullet \sqrt{x}$ 이고, x축에 대해서 회전시킨 모양이라고 한다.
예를들어 a=1.0, b=2.0 일 경우 윤곽 그래프는 다음과 같다.

h=2.0 이라면 이걸 x축을 기준으로 회전시키면 아래처럼 될 것이다. (h는 x=0부터 x=h 까지를 뜻한다)

그럼 부피는 $\int_{0}^{h}f(x)^{2}\pi \mathrm{dx}$ 와 같이 될 것이다.
저대로 적분해서 풀 수가 없으므로 일정 구간으로 나누어서 정적분 계산을 해준다.
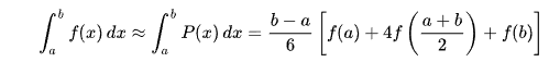
처음엔 사다리꼴 공식(위키)으로 근사치를 구하려 했는데 실패했고, 결론적으로 심프슨 공식(위키)으로 성공했다.

위 위키에 나와있는 공식대로 구현해주면 된다.
이 문제에서 제시된 $f(x)=a\bullet e^{-x^2}+b\bullet \sqrt{x}$ 인데, 당연히 이걸 그대로 넣으면 안되고
위 공식의 f(x)부분에 $f(x)^2\pi$ 을 넣어주면 된다. (코드의 g())
여기서 a와 b는 0부터 h를 적절히 나누어서 합을 구해주면 된다. 내 경우엔 $h/0.00005$ 개의 구간으로 나누어서 계산했다. 즉, x축을 세세하게 나눈 구간의 간격을 interval이라고 할 때 $interval = h/(h/0.00005)$ 이다.
현재 i번째 구간이라 하면, i=0부터 i=구간의 수 까지 i를 증가시키면서 a=i*interval ~ b=(i+1)*interval 사이에 대해 심프슨 공식을 계산해주고, 모든 구간의 결과를 합치면 된다.
double ans = 0.0d;
for (int i = 0; i < numOfInterval; i++) {
double a = interval*i; //나뉜 구간의 시작 지점
double b = interval*(i+1); //나뉜 구간의 끝 지점
ans += interval/6*(g(a)+4*g((a+b)/2)+g(b)); // 심프슨 공식대로 구현
}
return ans;
그렇게 각 꽃병의 부피를 구하면, 선영이가 찾는 꽃병의 부피 V와의 차이가 가장 작은 꽃병의 인덱스 번호를 출력해주면 된다.
코드 : github
import java.io.BufferedReader;
import java.io.InputStreamReader;
import java.util.StringTokenizer;
interface Tags { public static final double X_DIVIDE_GAP = 0.00005d;}
class Vase {
private double a, b, h, interval;
private int numOfInterval;
public Vase(StringTokenizer st) {
this.a = Double.parseDouble(st.nextToken());
this.b = Double.parseDouble(st.nextToken());
this.h = Double.parseDouble(st.nextToken());
this.numOfInterval = (int) Math.ceil(h/Tags.X_DIVIDE_GAP);
this.interval = h/numOfInterval;
}
private double f(double x) {
return a*Math.exp(-(x*x))+b*Math.sqrt(x);
}
private double g(double x) {
double fx = f(x);
return fx*fx*Math.PI;
}
public double getVolume() {
double ans = 0.0d;
for (int i = 0; i < numOfInterval; i++) {
double a = interval*i;
double b = interval*(i+1);
ans += interval/6*(g(a)+4*g((a+b)/2)+g(b));
}
return ans;
}
}
public class Main {
public void solution() throws Exception {
BufferedReader br = new BufferedReader(new InputStreamReader(System.in));
StringTokenizer st = new StringTokenizer(br.readLine());
double v = Double.parseDouble(st.nextToken());
int n = Integer.parseInt(st.nextToken());
double minGap = Double.MAX_VALUE;
int answer = 0;
for (int i = 0; i < n; i++) {
st = new StringTokenizer(br.readLine());
Vase vase = new Vase(st);
double gap = Math.abs(vase.getVolume() - v);
if (gap < minGap) {
minGap = gap;
answer = i;
}
}
System.out.println(answer);
}
public static void main(String[] args) throws Exception {
new Main().solution();
}
}'PS > BOJ' 카테고리의 다른 글
| [자바] 백준 24265 - 알고리즘 수업 - 알고리즘의 수행 시간 4 (java) (0) | 2022.12.13 |
|---|---|
| [자바] 백준 2842 - 집배원 한상덕 (java) (0) | 2022.12.12 |
| [자바] 백준 17114 - 하이퍼 토마토 (java) (0) | 2022.12.07 |
| [자바] 백준 7595 - Triangles (java) (0) | 2022.12.07 |
| [자바] 백준 2941 - 크로아티아 알파벳 (java) (0) | 2022.12.07 |
댓글