목차
문제 : boj2015

필요 알고리즘
- 누적 합 (prefix sum), 해시를 사용한 집합과 맵 (hashmap)
- 누적합과 해시를 사용해 풀 수 있는 문제이다.
※ 제 코드에서 왜 main 함수에 로직을 직접 작성하지 않았는지, 왜 Scanner를 쓰지 않고 BufferedReader를 사용했는지 등에 대해서는 '자바로 백준 풀 때의 팁 및 주의점' 글을 참고해주세요. 백준을 자바로 풀어보려고 시작하시는 분이나, 백준에서 자바로 풀 때의 팁을 원하시는 분들도 보시는걸 추천드립니다.
풀이
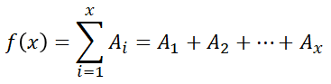
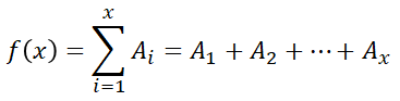
문제에서 A배열에서 1부터 X번까지의 누적합을 f(x)라 해보자. 즉 f(x)는 다음과 같다.

이 때 1 <= i <= j <= N인 정수에 대한 A[i]부터 A[j]까지의 합은 f(j) - f(i-1) 이라고 할 수 있다 (혹시 이해가 안된다면 '누적 합(prefix sum), 2차원 누적합(prefix sum of matrix) with java' 글을 확인해보자.).
그렇다면 이 문제에서 입력을 받을 때, A[1], A[2],... 이 아니라 f(1), f(2), ... 을 미리 저장해둔다고 해보자. 즉 입력받으면서 누적합 배열을 미리 만드는거다. 그럼 '부분합 중 합이 K인 것이 몇 개나 있는지' 라는 이 문제에서 물어보는 것은, '배열을 차례대로 보고 있을 때, 현재 x번째를 보고 있다면 배열에서 이전에 f(x) - k가 몇 번 나왔는가?' 로 바꿔서 풀 수 있게 된다. ( f(x) - 찾는값 = k 이므로, 찾는값 = f(x) - k)
그럼 로직은 다음과 같다.
1. 누적합 배열을 만든다.
2. 누적합 배열을 하나씩 보면서, 현재 x번째를 보고 있다면 arr[x] - K 가 이전까지 몇 번 나왔는지를 답에 더한다.
3. arr[x]가 나왔다고 카운팅한다.
for (int i = 1; i <= n; i++) {
arr[i] = arr[i-1] + Long.parseLong(st.nextToken()); // [1]
}
long answer = 0l;
Map<Long, Long> cnt = new HashMap<>();
cnt.put(0l, 1l);
for (int i = 1; i <= n; i++) {
answer += cnt.getOrDefault(arr[i]-k, 0l); // [2]
cnt.put(arr[i], cnt.getOrDefault(arr[i], 0l) + 1); //[3]
}
System.out.println(answer); // 답 출력
코드 : github
import java.io.BufferedReader;
import java.io.InputStreamReader;
import java.util.HashMap;
import java.util.Map;
import java.util.StringTokenizer;
public class Main {
static BufferedReader br = new BufferedReader(new InputStreamReader(System.in), 1 << 16);
public static void main(String[] args) throws Exception {
new Main().solution();
}
public void solution() throws Exception {
StringTokenizer st = new StringTokenizer(br.readLine());
int n = Integer.parseInt(st.nextToken());
long k = Long.parseLong(st.nextToken());
long[] arr = new long[n+1];
st = new StringTokenizer(br.readLine());
for (int i = 1; i <= n; i++) {
arr[i] = arr[i-1] + Long.parseLong(st.nextToken());
}
long answer = 0l;
Map<Long, Long> cnt = new HashMap<>();
cnt.put(0l, 1l);
for (int i = 1; i <= n; i++) {
answer += cnt.getOrDefault(arr[i]-k, 0l);
cnt.put(arr[i], cnt.getOrDefault(arr[i], 0l) + 1);
}
System.out.println(answer);
}
}
'PS > BOJ' 카테고리의 다른 글
| [자바] 백준 14786 - Ax+Bsin(x)=C ② (java) (0) | 2024.04.05 |
|---|---|
| [자바] 백준 2653 - 안정된 집단 (java) (0) | 2024.04.04 |
| [자바] 백준 24891 - 단어 마방진 (java) (0) | 2024.03.20 |
| [자바] 백준 2473 - 세 용액 (java) (0) | 2024.03.20 |
| [자바] 백준 14503 - 로봇 청소기 (java) (0) | 2024.03.19 |
댓글