문제 : boj16208
1. 우선 그냥 풀어보자.
결국 현재 막대 크기를 x+y로 나눌 수 있을 때, 비용인 xy들의 합을 최소로 하고 싶은 것이다. 그렇다면 수학적으로 최대한 '작은수 x 큰수'가 되도록 하는것이 최소이다. '중간수 x 중간수'일수록 손해이다. 예를들어 현재 길이가 10일 경우 5x5는 25지만 1x9는 9다. 또한 맨 마지막 막대는 비용이 0이므로 (x+0 이므로 xy = 0) 결국 주어진 n개의 쇠막대를 길이가 짧은 순서대로 나누면 된다(그리디 알고리즘). 내 경우엔 어차피 a_i <= 101 이므로 102개짜리 배열을 만들어서 카운팅했다. 그 후 해당 배열의 인덱스 1부터 101까지 진행하면서, 카운팅된 값 만큼 반복문을 돌면서 x+y로 나누어 직접 계산했다.
이렇게 진행한 코드는 아래와 같다.
※ 이하 코드도 정답코드이나, 아래 '2'에서 더 효율적인 방법을 설명한다.
import java.io.BufferedReader;
import java.io.InputStreamReader;
import java.util.StringTokenizer;
public class Main {
private void solution() throws Exception {
BufferedReader br = new BufferedReader(new InputStreamReader(System.in));
int n = Integer.parseInt(br.readLine());
int[] cnt = new int[102];
StringTokenizer st = new StringTokenizer(br.readLine());
long sum = 0;
while (n-->0) {
int cur = Integer.parseInt(st.nextToken());
cnt[cur]++;
sum += cur;
}
long answer = 0;
for (int i = 1; i <= 101; i++) {
for (int j = 0; j < cnt[i]; j++) {
answer += i * (sum-=i);
}
}
System.out.println(answer);
}
public static void main(String[] args) throws Exception {
new Main().solution();
}
}
2. 수학적으로 좀 더 빠르게 해보자.
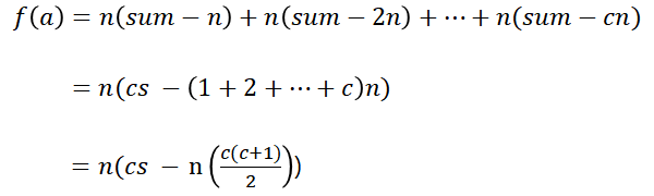
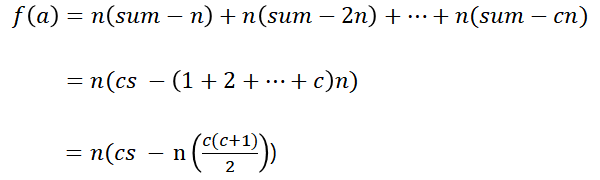
'1'과 마찬가지로 카운팅까지는 똑같다. 카운팅 해둔 배열이 cnt[] 라고 해보자. 이 때 막대 n개 길이의 합이 s, 현재 보고 있는 cnt 배열의 인덱스가 a, cnt[a]가 c라고 해보자. 그럼 다음과 같이 표현해볼 수 있다. (1+2+...c 는 등차수열의 합 공식을 쓰면 된다)

그리고 매번 s는 's -= ca'를 해주면 된다. 최종적으로 답은 다음과 같다.

이에 따른 코드는 다음과 같다. 당연하게도 '1'보다 효율적이다. 다만 계산 중간에 '1'보다 수의 범위가 더 커지므로, 오버플로우를 좀 더 주의해야한다.
코드 : github
import java.io.BufferedReader;
import java.io.InputStreamReader;
import java.util.StringTokenizer;
public class Main {
private void solution() throws Exception {
BufferedReader br = new BufferedReader(new InputStreamReader(System.in));
int n = Integer.parseInt(br.readLine());
int[] cnt = new int[102];
StringTokenizer st = new StringTokenizer(br.readLine());
int sum = 0;
while (n-->0) {
int cur = Integer.parseInt(st.nextToken());
cnt[cur]++;
sum += cur;
}
long s = sum;
long answer = 0;
for (int a = 1; a <= 101; a++) {
int c = cnt[a];
answer += 1l*a*(c*s-a*(c*(c+1)/2));
s -= c*a;
}
System.out.println(answer);
}
public static void main(String[] args) throws Exception {
new Main().solution();
}
}'PS > BOJ' 카테고리의 다른 글
| 백준 1544 자바 - 사이클 단어 (BOJ 1544 JAVA) (0) | 2022.02.09 |
|---|---|
| 백준 18126 자바 - 너구리 구구 (BOJ 18126 JAVA) (0) | 2022.02.08 |
| 백준 1590 자바 - 캠프가는 영식 (BOJ 1590 JAVA) (0) | 2022.02.06 |
| 백준 1287 자바, 파이썬 - 할 수 있다 (BOJ 1287 JAVA, Python) (0) | 2022.02.05 |
| 백준 23258 자바 - 밤편지 (BOJ 23258 JAVA) (0) | 2022.02.04 |
댓글